von
Raphael Sieber
Im Geografie-Wahlfach Naturkatastrophen
Betreut durch
KZO Wetzikon
2002 – 2003
www.regenwaldspiel.ch.vu
4.1. Liste der verwendeten Programme
8.1. Aufteilung in die 4 Bereiche
1. Im
Dokument verwendete Bilder
I.
Vorwort
Während meinem einjährigen Auslandaufenthalt[1] in Bolivien (Südamerika) durfte ich spüren, wie wenig man hier in Europa eigentlich von den Problemen weiss, die der Umweltschutz in der Dritten Welt, besonders im Zusammenhang mit dem tropischen Regenwald, mit sich bringt.
Erst durch die Erlebnisse vor Ort wurde mir klar, was die Ideologien aus unserer Welt für die betroffene Bevölkerung für Auswirkungen haben: Einerseits das Aufgeben von vielen Traditionen und andererseits für viele den Verlust ihrer gewohnten Arbeit. Hier stellt sich das grösste Problem für den Schutz des Regenwaldes. Was für uns unter dem Begriff Zerstörung geht ist vielerorts Grundlage für das tägliche Brot. Alle Arbeitsplätze die durch den Schutz verloren gehen, müssen irgendwie ersetzt werden. Dies zu erkennen war für mich ein grosser Schritt, denn plötzlich waren es nicht mehr nur Leute, die den Schutz nicht wollen, sondern es geht für sie um ihr Überleben.
Um diese Erkenntnisse nun weitergeben zu können, habe ich dieses Spiel geschrieben. Es soll auch jungen Leuten zeigen, über welche Hürden man gehen muss um die letzten Reste des Regenwaldes noch zu retten. Doch es zeigt auch, dass es möglich ist, die Ressourcen unserer Erde nachhaltig auszuschöpfen.
Für die Hilfe bei der Realisation dieser Arbeit möchte ich mehreren Personen meinen Dank zusprechen: Zum Ersten Anina Dürmüller, die mich immer wieder in meinen Ideen unterstützt hat und mir wichtige Anstösse bei der Erfindung gegeben hat. Weiter bedanke ich mich bei Pablo Schläpfer für seine technische Unterstützung sowie Adrian Stutz für die Hilfe im Umgang mit der Software. Und zum Schluss Martin Pünter, der mir ebenfalls sehr wichtige Anstösse für die Arbeit gegeben hat, und mir einen beträchtlichen Teil des Bildmaterials mehrheitliche aus seiner privaten Sammlung digitalisierte und zur Verfügung stellte.

Das Konzept dieses Spiels ist auf einigen Umwegen entstanden. Anfangs war mein Wunsch eine komplette Simulation der weltwirtschaftlichen und weltpolitischen Umgebung des tropischen Regenwaldes zu kreieren. Doch bald musste ich merken, dass dies nicht einmal mit Hilfe der besten Computer so gerechnet werden kann, dass es in der Realität stimmt. Doch die Idee einer Simulation behielt ich noch immer im Hinterkopf, während ich mir Gedanken über eine Interview-Serie über die abnehmenden Interessen am Schutz des tropischen Regenwaldes machte. Das Interview ging mir zu wenig über die eigene Landesgrenze hinaus und so entschloss ich mich dieses Spiel zu machen, das anderen Leuten einen Einblick in das Thema Schutz des tropischen Regenwaldes geben soll.
Das Konzept beruht auf verschiedenen Studien und Erfahrungen[2] die vor meiner Arbeit gemacht wurden. Daraus entnahm ich die nötigen Fakten sowie auch die Ideen für das Spiel. Ich versuchte möglichst viel Realität in die Abläufe hineinzubringen, ohne dabei den Spielspass ausser Acht zu lassen.
Der Spieler bestimmt selbst über den weiteren Verlauf des Spiels. Er übernimmt so eine gewisse Verantwortung für die Folgen seiner Handlungen. Diese sind zum Teil etwas übertrieben dargestellt um dem Spieler die verschiedenen Extrema klar zu zeigen. Der Spieler soll nach mehreren Durchgängen ein Bild von der Gesamtsituation haben. Er soll das Spiel zuerst einmal so spielen wie er wirklich handeln würde, nachher aber auch versuchen in die Rolle einer anderen Person zu schlüpfen um somit die Begebenheiten von verschiedenen Perspektiven kennen zu lernen.
Mit dem Regenwaldspiel sollen alle Leute angesprochen werden. Es ist so konzipiert, dass bereits 14 bis 16-Jährige mit nur wenig Sachwissen damit umgehen können. Doch auch für Erwachsene bietet es eine spannende Entdeckungsreise in die Problematik der Rettung des tropischen Regenwaldes.
Durch meine beschränkten Computerkenntnisse sowie auch durch die vorgegebene Zeitlimite waren meine Möglichkeiten für dieses Spiel eingeschränkt. Die Idee von Animationen und akustischer Unterstützung musste ich zurückstecken, denn diese Zusätze sind enorm zeitaufwendig. So beschränkte ich mich auf ein Spiel, das man im Prinzip auch auf dem Papier spielen könnte, jedoch mit dem Computer einfacher zu gestalten und natürlich besonders für junge Leute interessanter ist. Und nur so kann jedermann übers Internet darauf zugreifen.
Die Liste der verwendeten Programme beschränkt sich durch die in Punkt 2 gegebenen Möglichkeiten. So benötigte ich ein Textverarbeitungsprogramm, eines für die Bearbeitung von Bildern, eines für Webdesign und einen Internetbrowser. Letzteren wird auch zum spielen des Regenwaldspieles benötig, ist aber standardmässig auf jedem Computer installiert.
4.1. Liste der verwendeten Programme
·
Microsoft
Word (Textverarbeitung)
·
Adobe
Photoshop 7 (Bildbearbeitung)
·
Macromedia
Dreamweaver MX (Webdesign)
· Mozilla[3] (Browser)
Die Programmierung erfolgte ausschliesslich in HTML-code. Der Vorteil daran ist, dass er einfach zu programmieren ist und von jedem Browser gelesen werden kann. Um die Ladezeit für den Browser zu verringern errichtete ich ein Frameset. Damit muss nur ein kleiner Teil der Seite für den nächsten Schritt neu geladen werden. Als Hilfsmittel verwendete ich css-styles, welche es ermöglichen, bei einer Gruppe von Textabschnitten auf der gesamten Webseite das Text-Format mit wenigen Mausklicken zu verändern. Ein weiteres Hilfsmittel war die Verwendung von Vorlagen (Templates), die das Erstellen von mehreren ähnlichen Seiten enorm beschleunigt.
Wie gesagt ist das Spiel so programmiert, dass es von jedem neueren Browser aus gespielt werden kann. Und was ist heutzutage noch einfacher als etwas über das Internet zu verbreiten?
So meldete ich mich bei einer Gratis-Domain an, um auf dem Internet eine Adresse zu haben. Des weiteren suchte ich nach einem Server, der kostenlos Speicherplatz zur Verfügung stellt und schickte mein gesamtes Programm dahin.
Das Spiel kann so von jedem beliebigen Computer mit Internetanschluss aus über www.regenwaldspiel.ch.vu aufgestartet werden.
Der
Holzfäller steht zwischen den beiden anderen grossen Parteien, Mauricio und die
Umweltschutz-organisation. Einerseits muss er für sich und seine Familie sorgen
und will seine Gewohnheiten nicht aufgeben, andererseits versucht die Umweltschutzorganisation
ihn aber immer wieder zu anderen Arbeiten zu bewegen. Und für seine Familie
wäre natürlich besser gesorgt, wenn er eine bessere Arbeit finden würde. So
entsteht ein Drang zu einer Arbeit bei Mauricio.
Um selbst die Initiative zu ergreifen und etwas neues aufzubauen, reichen ihm die Mittel nicht aus. Im Spiel kann dieses Problem jedoch umgangen werden, denn auf der Seite (HF/1-7-2-1) findet er eine Menge Geld, die er dann für so etwas einsetzen kann. Dieser Zufallsakt wurde programmiert, um dem Spieler zu zeigen, dass es mit den nötigen Mitteln doch Möglichkeiten gibt, in einem solchen Land in die Landwirtschaft zu investieren ohne für die Umwelt enorme Schäden anzurichten.
Wie man am Beispiel von Precious Woods[4] sehen kann, ist dies wirklich möglich und wird durch die internationale Zertifizierung zunehmend unterstützt. Über die Zukunft solcher Firmen gibt es noch keine Erfahrungswerte, doch der Präsident des Verwaltungsrates von Precious Woods sieht die Zukunft seiner Firma mit Zuversicht[5] entgegen. Denn die Nachfrage nach nachhaltig produziertem Holz steigt in den Industrieländern konstant an[6], obwohl der Kauf von etwas teurerem Holz besonders in der Baubranche wegen der grossen Konkurrenz schwierig ist.
Der
Name Mauricio steht für einen Geschäftsherrn, der es versteht überall möglichst
viel Geld auszuschöpfen. Um seine Pläne durchzusetzen schreckt er vor nichts
zurück. So auch nicht vor einem Krieg mit Eingeborenen oder Bestechung und
Mord. Er arbeitet für eine internationale Ölfirma, die im Regenwald Öl fördert
und hat gute Verbindungen zu den grossen lokaltätigen Holzfirmen. Er selber hat
viel Freizeit, denn seine Angestellten (wie auch der Spieler einer ist)
arbeiten für ihn..
Er muss in diesem Bereich eine Strasse oder eine Ölpipeline durch Primärwaldgebiete bauen und dabei die Hindernisse, die sich ihm dabei in den Weg stellen möglichst schnell und kostengünstig aus dem Weg räumen. So kommt es mit grosser Wahrscheinlichkeit zu einer blutigen Auseinandersetzung mit den Bewohnern eines Indianerdorfes, die damit endet, dass entweder der Sohn des Häuptlings oder dieser selbst mit Alkohol und schönen Versprechen bestochen werden müssen. So kann der Bau weitergeführt werden, doch die Indianer melden sich dann später zurück und blockieren die Verbindungsstrasse. Dieses Thema beruht indirekt auf Tatsachen, dass beispielsweise in Bolivien jährlich mehrere Male wichtige Verbindungsstrassen von armen Leuten besetzt werden; das ist ihre einzige Möglichkeit sich Gehör zu verschaffen.
Der Bereich Umweltschutz ist in diesem Spiel zentral. So ist auch die Anzahl der Spielseiten hier am grössten[7].
Der Spieler erhält eine Stelle als Parkwächter in einem neu gegründeten Naturreservat und muss von da aus verschieden Probleme, die sich im Zusammenhang mit dem Schutz des Waldes ergeben, versuchen zu lösen.
Es gibt vier Unterbereiche: Wilderer, Holzfäller, der Bau einer Pipeline durch das Reservat sowie das finanzielle Problem des Reservates. Was Anfangs nach ganz verschiedenen Themen aussieht läuft am Ende auf die drei Hauptsachen hinaus: Schaffung von Arbeitsplätzen, Verhandlungen mit der Regierung und Protest.
Die
Regierung ist korrupt[8],
wie sie das in den meisten tropischen Ländern ist, und es ist schwer, auf
ehrliche Art etwas zu erreichen. Ein Ausweg bildet die persönliche Beziehung
oder Verwandtschaft zu jemandem, der darin arbeitet, eine weitere der Gebrauch
von Druckmitteln.
Das Thema Tourismus ist eine der grössten Hoffnungen für den Regenwald[9]. Durch den Aufbau von Tourismus werden verschiedene Ziele gleichzeitig erfüllt: Es entstehen neue Arbeitsplätze, und der Regenwald bleibt unbeschädigt, da er sonst nicht mehr attraktiv ist für die Touristen. Und durch den Tourismus werden auch viele Leute auf das Gebiet aufmerksam und eines Tages kommt es vielleicht zu einer grösseren Investition, gerade von High-Tech oder ähnlichen standortunabhängigen Firmen[10].
Der Protest ist ein in sich geschlossener Bereich und zählt so zu den vier Grossen. Siehe Kapitel 6.4.
Der Protestbereich umfasst einen grossen Teil der Möglichkeiten, wie im Zusammenhang mit Umweltschutz protestiert werden kann. Er ist Druckmittel sowie auch ein Mittel zur Demonstration der Ungerechtigkeit.
Am
Ende läuft es immer darauf hinaus, dass die Öffentlichkeit, wenn möglich internationale
Medien, auf die Missstände aufmerksam werden. Der Tod oder die unrechtmässige
Gefangennahme sind dazu enorm wirksam, doch für den betroffenen natürlich
unangenehm bis verheerend. Zwischen unwirksam und gefährlich gibt es kaum Möglichkeiten
sich in der Öffentlichkeit Gehör zu verschaffen.
Dieser Bereich stützt sich ausschliesslich auf den Bereich Umweltschutzorganisation.
Das Spiel basiert auf verschiedenen wahren Begebenheiten. Diese wurden aber oft in fremde Zusammenhänge gebracht, was den Bezug zur Realität etwas verwischt. Zudem sind die Konsequenzen der Entscheide des Spielers oft etwas übertrieben dargestellt, damit die Unterschiede klarer zur Geltung kommen. Und schliesslich soll es auch noch Spass machen, auch dafür sind einige Abweichungen von der Wirklichkeit nötig.
So ergibt sich ein in den Einzelheiten sicher nicht ganz genaues Abbild der Realität, doch in seiner Gesamtheit zeigt das Spiel einen sehr grossen Teil der realen Begebenheiten im Zusammenhang mit dem Schutz des Regenwaldes auf. Wer das Spiel einige Male durchspielt bekommt eine klare Vorstellung der Problematik, die der meinen nach persönlichen Erfahrungen entspricht.
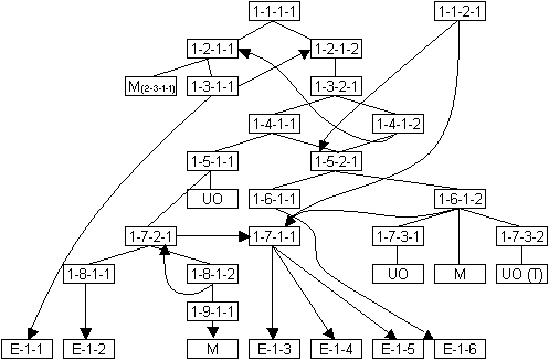
Das Spiel ist wie ein Stammbaum aufgebaut. Nur dass man die Generationen (hier Ebenen genannt) teilweise auch überspringen kann[11]. Es geht von dem einfachen Holzfäller aus, der auf der Suche nach einer neuen Arbeit in einen der zwei Bereiche Umweltschutzorganisation oder Mauricio hineinkommt. Es gibt aber immer wieder Möglichkeiten die Seite zu wechseln denn sonst wäre das Spiel gleich zu Beginn schon beinahe entschieden.
Für die Schreibarbeit des Spiels war es unbedingt nötig, erstens die verschiedenen Schritte zu codieren, und zweitens sie in verschiedene Bereiche zu unterteilen.
8.1. Aufteilung in die 4 Bereiche
Dass das Spiel aus 4 Bereichen (Holzfäller, Mauricio, Umweltschutzorganisation und Protest) besteht fällt beim Spielen nicht gleich auf. Doch die klare Struktur machte es erst möglich die Übersicht über das Spiel zu behalten. Je nach dem in welchem Bereich man sich befindet, sind auch die Kontaktpersonen und dessen Handlungen anders.
Jede der über 200 Seiten hat ihre Bezeichnung. Das muss erstens für das Programm so sein und zweitens um die Übersicht über das Spiel behalten zu können. Die Spielseiten sind nach folgendem System benannt: [Bereich]-[Ebene]-[Herkunft]-[Aktion]. Wobei der Bereich aus 1=Holzfäller (HF) ist, 2=Mauricio (M), 3=Umweltschutzorganisation (UO) und P=Protest besteht, die Ebene die Position im Stammbaum, die Herkunft die Nummer des Astes ist, der dieser Seite vorausgeht und die Aktion die Nummerierung innerhalb dieses Astes beschreibt. (Siehe Anhang 1: Schematischer Spielaufbau)
Anzahl
Html-Dokumente: 264
Anzahl Dokumente gesamt: 347
Anzahl Links: 1178
Anzahl
Bilddokumente: 81
Längster Weg: ohne Schlaufen: >25
mit Schlaufen: ∞
Kürzester Weg: 3
Klicks
Benötigter Speicherplatz: 10.7
MB
Anzahl möglicher Enden: 29
Bereich Holzfäller: 19
Seiten
Bereich Umweltschutzorganisation: 92
Seiten
Bereich Mauricio: 50
Seiten
Bereich Protest: 17
Seiten
übrige: 168
Dokumente
Behörde für Wirtschaft und Arbeit, Tropenholz, www.forst-hamburg.de/tropenholz.htm
BG/BRG Neunkirchen, Welternährung (Wirtschaftsfaktor Regenwald) und nachhaltige Entwicklung, www.bgneunkirchen.ac.at/regenwald/p1.htm
div. Autoren, OCP-Pipeline, Süddeutsche Zeitung, April
2002,
www.regenwald.org/new/presseberichte/02-04.htm
Florian Dünkmann, Naturschutz und kleinbäuerliche Landnutzung im Rahmen Nachhaltiger Entwicklung, Kiel, 1999
Mario Kahl, Doris Klughardt, Sven v. d. Ohe (Hrsg.), Seeing the people behind the trees, Saarbrücken, Verlag für Entwicklungspolitik Breitenbach, 1995
Precious woods Management Ltd, Firma für intergrierter Holzschlag, www.preciouswoods.ch
Regenwaldmenschen, Waldwelten – Menschen im Regenwald von Ecuador http://www.regenwaldmenschen.de
Regenwaldschutzprojekt Selva Viva, www.amazoonico.org
Rittmeyer + Hostettler, VETO, Fata Morgana Spiele, Bern, 1986
Studienkreis, Statements der drei Preisträger des TO DO! 2001, www.studienkreis.org/common/news/state_todo.html
Thomas Friedmann, Globalisierung verstehen, zwischen Marktplatz und Weltmarkt, Econ Taschenbuch Verlag, 1999
Tropica verde, Beim Einkaufen den Regenwald schützen, www.tropica-verde.de/tukan_1-00_holz.html
UNAPRO, Umweltschutz/Biolandwirtschaft, www.sonador.org/html/de/unaproa/projekt.html
Uta Quadflieg, Konzept zur Harmonisierung des Konflikts zwischen ökonomisch ertragreichem und ökologisch verträglichem Tropenholzeinschlag, Baden-Baden, Nomos-Verl.-Ges., 1998
Wanemai Expeditions, Tourismusfirma im trop. Regenwald, www.hans-erik-rasmussen.dk/wanemai_expeditions.htm
1. Im Dokument verwendete Bilder
(Von vorne nach hinten)
Bild 1: Private Sammlung, Bolivianische Familie in Kanu, nahe Trinidad, Bolivien
Bild 2: Gg-Bibliothek KZO Wetzikon, Holzfäller bei der Arbeit, genaueres unbekannt
Bild 3: www.diewaldseite.de, Strasse durch den Regenwald, genaueres unbekannt
Bild 4: www.fish.com, Primärwald, genaueres unbekannt
Bild 5: www.nadir.org, Strassenblockade in El Salvador, genaueres unbekannt
Aufforst: www.preciouswoodes.ch, 6 ½ Jahre alte Teak-Bäume, genaueres unbekannt
Blok-militaer: www.eldeber.com.bo, Räumung einer Strassenblockade, El Deber, Diario Mayor, Tageszeitung Santa Cruz, Bolivien.
Bloqueos: www.nadir.org, Srassenblokade in El Salvador, genaueres unbekannt
Bloqueos 2: www.nadir.org, Srassenblokade in Guatemala, genaueres unbekannt
Brennende wueste: www.phoenix.de, Konflikte um Erdöl, genaueres unbekannt
EA172: Martin Pünter, Quichuamädchen Leticia, , Winter 1997/98 im Tropischen Regenwald Ecuadors
EA200: 2 Martin Pünter, Quichua Indianerinnen, Winter 1997/98 im Tropischen Regenwald Ecuadors
EA350: Martin Pünter, Strasse durch den Regenwald, vor einigen Monaten, Winter 1997/98 im Tropischen Regenwald Ecuadors
EA360: Martin Pünter, Intakter, natürlicher Tropischer Primärregenwald., Winter 1997/98 in der Biologischen Forschungsstation Jatun Sacha im Tropischen Regenwald Ecuadors
EA465: Martin Pünter, Detailaufnahme aus dem Primärwald, Sommer 2000 im Tropischen Regenwald Ecuadors
EA466: Martin Pünter, Detailaufnahme aus dem Sekundärwald, Sommer 2000 im Tropischen Regenwald Ecuadors
Fam: Private Sammlung, Indigene Famile, in einem bolivianischen Indianerdorf nahe Trinidad, Beni
Gefaeng: www.unibas.ch, genaueres unbekannt
GEO: George Uwe, Folgen der Regenwaldrodung auf den Philippinen, , 1991, Regenwald, Vorstoss in das tropische Universum, GEO im Verlag Gruner + Jahr AG, Hamburg
Haus: Private Sammlung, Haus in einem bolivianischen Indianerdorf nahe Trinidad, Beni
Oel: www.tu-darmstadt.de, Ölförderung, genaueres unbekannt
Oelstrasse: www.diewaldseite.de, Strasse durch den Regenwald zu einer Ölbaum-Plantage, genaueres unbekannt
OH131: Gg-Bibliothek KZO Wetzikon, Strassenbau im TRW, genaueres unbekannt
OH132: Gg-Bibliothek KZO Wetzikon, Holzfäller bei der Arbeit, genaueres unbekannt
OH134: Gg-Bibliothek KZO Wetzikon, Holzeinschlag im Tropischen Regenwald KZO Wetzikon, genaueres unbekannt
OI5: Gg-Bibliothek KZO Wetzikon, Flächenrodung im Amazonas, genaueres unbekannt
OI19: Spätfolgen von grossflächig gerodetem TRW - Weide wird zu Wüste, Gg-Bibliothek KZO Wetzikon, genaueres unbekannt
PrimWald: www.jungletraining.com, Primärwald in Costa Rica,
genaueres unbekannt
Prim-Wald: www.fish.com, Aufnahme aus gesundem Regenwald, genaueres unbekannt
Proteste: www.ucm.es,
friedlicher Protestmarsch, genaueres unbekannt
Ptz: Erwin Patzelt, Erodierender Boden nach der Regenwaldabholzung, 1992 Letzte Hoffnung Regenwald, Steiger-Verlag
Riese: Private Sammlung, Stamm eines Urwaldriesen, 2000/2001, Nähe Trinidad, Bolivien
Skelett: Skelett, Internet, genaueres unbekannt
Ziegelhaus: Raphael Sieber, Bauernhaus nähe Trinidad, Bolivien, 2000/2001


1.3. Umweltschutzorganisation

[1] Schüleraustausch mit AFS, August 2000 bis Juli 2001.
[2] Siehe IV: Quellen.
[3] vom gleichen Hersteller wie Netscape Navigator
[4] Precious Woods: Schweizer Firma, die in Costa Rica und Brasilien Aufforstung und integrierte Forstwirtschaft betreibt. www.preciouswoods.ch.
[5] CashTV vom 5. Jan 2003 (SF1).
[6] Eigeninterpretation aus der Entwicklung der ökologischen Wirtschaft.
[7] Siehe III: Statistik.
[8] Beispiel Nigerdelta www.bee-ev.de/pdf/Konflikte/Nigerdelta.pdf.
[9] Friedmann Thomas, Globalisierung verstehen.
[10] Friedmann Thomas, Globalisierung verstehen.
[11] Siehe Anhang 1: Schematischer Spielaufbau.